ПрограммаMathcad позволяет строить графики в декартовых и полярных координатах. Можно строить двумерные и трехмерные графики.
- Построение графиков в декартовой системе координат
При построении графика сначала должна быть определена независимая переменная. Например, если график строится для всех 
 
если шаг изменения переменной h. Промежуток изменения переменной можно не задавать, тогда по умолчанию будет строиться график на отрезке 
Пусть необходимо построить график функции
 
В Mathcad-документе определяются пределы изменения аргумента и сама функция
Далее определяется расположение графика в Mathcad-документе и в меню Insert активизируется в подменю Graph команда X-Y Plot . В области графика в ячейке рядом с осью абсцисс указывается имя независимой переменной, а в ячейке рядом с осью ординат — имя функции.
Если необходимо представить в одном окне два или более графика, то в ячейку рядом с осью ординат вводятся через запятую необходимых имена функций. При этом кривые графиков представляются различным цветом.
Например, необходимо построить два графика функций 

- Построение графиков в полярной системе координат
В программе Mathcad возможно строить графики функций, заданных в полярной системе координат.
В случае, когда начало декартовой системы, совмещено с полюсом, а полярная ось с 0х, то координаты точки 
Если функция, график которой следует построить, задана полярным уравнением, т.е. 

 
Задать функцию пользователя
 
Для ввода греческих букв используется панель Greek(меню View, подменю Toolbars).
Далее в меню Insert в подменю Graph активизируется команда Polar Plot. В Mathcad-документе появляется графическая область. В нижнюю область в ячейку вводится имя полярного угла, а в левую — имя функции 



 
можно записать уравнение, заданное в полярных координатах, в декартовых координатах.
Пример 1.
Уравнение 
Уравнение в декартовой системе для этой окружности можно записать;
 
Если построить график в декартовой системе координат, то получим окружность с центром в начале координат.
Пример 2.
Задано уравнение 


В полярных координатах график будет иметь вид
Лекция 4.
- Вычисления с векторами и матрицами
Mathcad имеются мощные возможности выполнения операций с векторами и матрицами. При этом операции можно производить как символами, так и численно.
Дата добавления: 2015-12-26 ; просмотров: 7826 ; ЗАКАЗАТЬ НАПИСАНИЕ РАБОТЫ
- Учебное пособие: Пособие MathCAD
- 1. Рабочее окно MathCAD
- 2. Элементы языка MathCAD
- 3. Форматирование чисел
- 5. Работа с графикой
- 5.1 Построение двухмерных графиков
- 5. 2 Построение полярных графиков
- 5. 3 Построение графиков поверхностей (трехмерные или 3D-графики)
- 6. Способы решения уравнений в MathCAD
- 6.1 Решение уравнений с помощью функции root(f(x),x)
- 6.2 Решение уравнений с помощью функции Polyroots(v)
- 7. Решение систем уравнений
- 7.1 Решение систем линейных уравнений
- 7. 2 Решение систем нелинейных уравнений
- 8 . Примеры использования основных возможностей MathCAD для решения некоторых математических задач
- 8.1 Нахождение локальных экстремумов функций
- 8.3 Построение кривых по заданным точкам
- Осваиваем Mathcad (стр. 8 )
Видео:Математика это не ИсламСкачать

Учебное пособие: Пособие MathCAD
| Название: Пособие MathCAD Раздел: Рефераты по информатике Тип: учебное пособие Добавлен 09:29:48 29 ноября 2010 Похожие работы Просмотров: 926 Комментариев: 21 Оценило: 4 человек Средний балл: 4.8 Оценка: неизвестно Скачать | 
 
 
Рис. 2.1. Шаблон двухмерного графика
щелкнуть мышью вне шаблона графика — график функции будет построен.
Диапазон изменения аргумента состоит из 3-х значений: начальное, второе и конечное.
Пусть необходимо построить график функции на интервале [-2,2] с шагом 0.2. Значения переменной t задаются в виде диапазона следующим образом:
где: –2 — начальное значение диапазона;
–1.8 (–2 + 0.2) — второе значение диапазона (начальное значение плюс шаг);
2 — конечное значение диапазона.
Внимание. Многоточие вводится нажатием точки с запятой в английской раскладке клавиатуры.
Пример. Построение графика функции y = x 2 на интервале [–5,5] с шагом 0.5 (рис. 2.2).
Рис. 2.2. Построение графика функции y = x 2
При построении графиков необходимо учитывать следующее:
° Если диапазон значений аргумента не задан, то по умолчанию график строится в диапазоне [–10,10].
° Если в одном шаблоне необходимо разместить несколько графиков, то имена функций указываются через запятую.
° Если две функции имеют различные аргументы, например f1(x) и f2(y), то на оси ординат (Y) через запятую указываются имена функций, а по оси абсцисс (X) — имена обеих переменных тоже через запятую.
° Крайние метки данных на шаблоне графика служат для указания предельных значений абсцисс и ординат, т.е. они задают масштаб графика. Если оставить эти метки незаполненными, то масштаб будет установлен автоматически. Автоматический масштаб не всегда отражает график в нужном виде, поэтому предельные значения абсцисс и ординат приходится редактировать, изменяя вручную.
Примечание. Если после построения график не принимает нужный вид, можно:
· изменить интервал построения графика.
· уменьшить на графике предельные значения абсцисс и ординат.
Пример. Построение окружности с центром в точке (2,3) и радиусом R = 6.
Уравнение окружности с центром в точке с координатами (x 0 ,y 0 ) и радиусом R записывается в виде:
Выразим из этого уравнения y :
Таким образом, для построения окружности необходимо задать две функции: верхнюю и нижнюю полуокружности. Диапазон значений аргумента вычисляется следующим образом:
— начальное значение диапазона = x 0 – R ;
— конечное значение диапазона = x 0 + R ;
— шаг лучше взять равным 0.1 (рис. 2.3.).
Рис. 2.3. Построение окружности
Параметрический график функции
Иногда бывает удобнее вместо уравнения линии, связывающего прямоугольные координаты x и y , рассматривать так называемые параметрические уравнения линии, дающие выражения текущих координат x и y в виде функций от некоторой переменной величины t (параметра): x (t ) и y (t ). При построении параметрического графика на осях ординат и абсцисс указываются имена функций одного аргумента.
Пример. Построение окружности с центром в точке с координатами (2,3) и радиусом R = 6. Для построения используется параметрическое уравнение окружности
Рис.2.4. Построение окружности
Чтобы отформатировать график, необходимо дважды щелкнуть по области графика. Откроется диалоговое окно форматирования графика. Ниже перечислены вкладки окна форматирования графика:
— X — Y Axes — форматирование осей координат. Установив нужные флажки можно:
· Log Scale — представить численные значения на осях в логарифмическом масштабе (по умолчанию численные значения наносятся в линейном масштабе)
· Grid Lines — нанести сетку линий;
· Numbered — расставить числа по координатным осям;
· Auto Scale — автоматический выбор предельных численных значений на осях (если этот флажок снят, предельными будут максимальные вычисленные значения);
· Show Marker — нанесение меток на график в виде горизонтальных или вертикальных пунктирных линий, соответствующих указанному значению на оси, причем сами значения выводятся в конце линий (на каждой оси появляются 2 места ввода, в которые можно ввести численные значения, не вводить ничего, ввести одно число или буквенные обозначения констант);
· Auto Grid — автоматический выбор числа линий сетки (если этот флажок снят, надо задать число линий в поле Number of Grids);
· Crossed — ось абсцисс проходит через нуль ординаты;
· Boxed — ось абсцисс проходит по нижнему краю графика.
— Trace — форматирование линии графиков функций. Для каждого графика в отдельности можно изменить:
· символ (Symbol) на графике для узловых точек (кружок, крестик, прямоугольник, ромб);
· вид линии (Solid — сплошная, Dot — пунктир, Dash — штрихи, Dadot — штрих-пунктир);
· цвет линии (Color);
· тип (Туре) графика (Lines — линия, Points — точки, Ваr или Solidbar — столбики, Step — ступенчатый график и т.д.);
· толщину линии (Weight).
— Label — заголовок в области графика. В поле Title (Заголовок) можно записать текст заголовка, выбрать его положение — вверху или внизу графика (Above — вверху, Below — внизу). Можно вписать, если надо, названия аргумента и функции (Axis Labels ).
— Defaults — с помощью этой вкладки можно вернуться к виду графика, принятому по умолчанию (Change to default), либо сделанные вами изменения на графике использовать по умолчанию для всех графиков данного документа (Use for Defaults).
Видео:Уравнение окружности (1)Скачать

5. 2 Построение полярных графиков
Для построения полярного графика функции необходимо:
· задать диапазон значений аргумента;
· установить курсор в то место, где должен быть построен график, на математической панели выбрать кнопку Graph (график) и в открывшейся панели кнопку Polar Plot (полярный график);
· в местах ввода появившегося шаблона необходимо ввести угловой аргумент функции (внизу) и имя функции (слева).
Пример . Построение лемнискаты Бернулли: 

Рис.2.6. Пример построения полярного графика
Видео:9. MathCad. Работа с графикойСкачать

5. 3 Построение графиков поверхностей (трехмерные или 3D-графики)
При построении трехмерных графиков используется панель Graph (График) математической панели. Можно построить трехмерный график с помощью мастера, вызываемого из главного меню; можно построить график, создав матрицу значений функции двух переменных; можно задействовать ускоренный метод построения; можно вызвать специальные функции CreateMech и CreateSpase, предназначенные для создания массива значений функции и построения графика. Мы рассмотрим ускоренный метод построения трехмерного графика.
Быстрое построение графика
Для быстрого построения трехмерного графика функции необходимо:
· установить курсор в то место, где должен быть построен график, на математической панели выбрать кнопку Graph (График) и в открывшейся панели кнопку 
· в единственное место шаблона введите имя функции (не указывая переменные);
· щелкнуть мышью вне шаблона графика — график функции будет построен.
Пример. Построение графика функции z (x ,y ) = x 2 + y 2 – 30 (рис. 2.7).
Рис. 2.7. Пример быстрого построения поверхностного графика
Построенным графиком можно управлять:
° вращение графика выполняется после наведения на него указателя мыши при нажатой левой кнопке мыши;
° масштабирование графика выполняется после наведения на него указателя мыши при одновременном нажатии левой кнопки мыши и клавиши Ctrl (если двигать мышь, график приближается или удаляется);
° анимация графика выполняется аналогично, но при нажатой дополнительно клавише Shift. Необходимо только начать вращение графика мышью, дальше анимация будет выполняться автоматически. Для остановки вращения следует щелкнуть левой кнопкой мыши внутри области графика.
Существует возможность построения сразу нескольких поверхностей на одном рисунке. Для этого необходимо задать обе функции и через запятую указать имена функций на шаблоне графика.
При быстром построении графика по умолчанию выбираются значения обоих аргументов в пределах от –5 до +5 и число контурных линий, равное 20. Для изменения этих значений необходимо:
· дважды щелкнуть по графику;
· в открывшемся окне выбрать вкладку Quick Plot Data;
· ввести новые значения в области окна Range1 — для первого аргумента и Range2 — для второго аргумента (start — начальное значение, end — конечное значение);
· в поле # of Grids изменить число линий сетки, покрывающих поверхность;
· щелкнуть на кнопке Ок.
Пример . Построение графика функции z (x ,y ) = –sin(x 2 + y 2 ) (рис. 2.9).
При построении этого графика пределы изменения значений обоих аргументов лучше выбрать от –2 до +2.
Рис. 2.9. Пример построения графика функции z (x ,y ) = –sin(x 2 + y 2 )
Форматирование трехмерных графиков
Для форматирования графика необходимо дважды щелкнуть по области построения — появится окно форматирования с несколькими вкладками: Appearance , General , Axes , Lighting , Title , Backplanes , Special , Advanced , Quick Plot Data .
Назначение вкладки Quick Plot Data было рассмотрено выше.
Вкладка Appearance позволяет менять внешний вид графика. Поле Fill Options позволяет изменить параметры заливки, поле Line Option — параметры линий, Point Options — параметры точек.
Во вкладке General ( общие) в группе View можно выбрать углы поворота изображенной поверхности вокруг всех трех осей; в группе Display as можно поменять тип графика.
Во вкладке Lighting (освещение) можно управлять освещением, установив флажок Enable Lighting (включить освещение) и переключатель On (включить). Одна из 6-ти возможных схем освещения выбирается в списке Lighting scheme (схема освещения).
Видео:Математика | 5 ЗАДАЧ НА ТЕМУ ОКРУЖНОСТИ. Касательная к окружности задачиСкачать

6. Способы решения уравнений в MathCAD
В данном разделе мы узнаем, каким образом в системе MathCAD решаются простейшие уравнения вида F(x ) = 0. Решить уравнение аналитически — значит найти все его корни, т.е. такие числа, при подстановке которых в исходное уравнение получим верное равенство. Решить уравнение графически — значит найти точки пересечения графика функции с осью ОХ.
Видео:Матан за час. Шпаргалка для первокурсника. Высшая математикаСкачать

6.1 Решение уравнений с помощью функции root(f(x),x)
Для решений уравнения с одним неизвестным вида F(x ) = 0 существует специальная функция
где f (x ) — выражение, равное нулю;
Эта функция возвращает с заданной точностью значение переменной, при котором выражение f (x ) равно 0.
Внимание. Если правая часть уравнения ¹0, то необходимо привести его к нормальному виду (перенести все в левую часть).
Перед использованием функции root необходимо задать аргументу х начальное приближение. Если корней несколько, то для отыскания каждого корня необходимо задавать свое начальное приближение.
Внимание. Перед решением желательно построить график функции, чтобы проверить, есть ли корни (пересекает ли график ось Ох), и если есть, то сколько. Начальное приближение можно выбрать по графику поближе к точке пересечения.
Пример. Решение уравнения 

Рис. 3.1. Решение уравнения при помощи функции root
Видео:Основы работы в Mathcad ГрафикиСкачать

6.2 Решение уравнений с помощью функции Polyroots(v)
Для одновременного нахождения всех корней полинома используют функцию Polyroots ( v ), где v — вектор коэффициентов полинома, начиная со свободного члена. Нулевые коэффициенты опускать нельзя. В отличие от функции root функция Polyroots не требует начального приближения.
Пример . Решение уравнения 
Рис. 3.2. Решение уравнения с помощью функции polyroots
6. 3 Решение уравнений с помощью функции Find ( x )
Функция Find (Найти) работает в ключевой связке с ключевым словом Given (Дано). Конструкция Given – Find использует расчетную методику, основанную на поиске корня вблизи точки начального приближения, заданной пользователем.
Если задано уравнение f (x ) = 0, то его можно решить следующим образом с помощью блока Given – Find :
– задать начальное приближение
– ввести служебное слово
– записать уравнение, используя знак жирное равно
– написать функцию find с неизвестной переменной в качестве параметра
В результате после знака равно выведется найденный корень.
Если существует несколько корней, то их можно найти, меняя начальное приближение х0 на близкое к искомому корню.
Пример. Решение уравнения 
Рис. 3.3. Решение уравнения с помощью функции find
Иногда возникает необходимость отметить на графике какие-либо точки (например, точки пересечения функции с осью Ox). Для этого необходимо:
· указать значение x данной точки (по оси Ох) и значение функции в этой точке (по оси Оy);
· дважды щелкнуть по графику и в окне форматирования во вкладке Traces для соответствующей линии выбрать тип графика — points, толщину линии — 2 или 3.
Пример. На графике отмечена точка пересечения функции  

Рис. 3.4. График функции 
В окне форматирования графика во вкладке Traces для trace 2 изменены: тип графика — points, толщина линии — 3, цвет — черный.
Видео:Уравнение окружности и ее графикСкачать

7. Решение систем уравнений
Видео:начертить окружность. Привести уравнение окружности к стандартному виду. Координаты центра и радиус.Скачать

7.1 Решение систем линейных уравнений
Систему линейных уравнений можно решить матричным методом (или через обратную матрицу или используя функцию lsolve (A,B)) и с использованием двух функций Find и функции Minerr .
Пример. Дана система уравнений:

Решение данной системы уравнений матричным методом представлено на рисунке 4.1.
Рис. 4.1. Решение системы линейных уравнений матричным методом
Lsolve (A,B) — это встроенная функция, которая возвращает вектор Х для системы линейных уравнений 
Пример . Дана система уравнений:

Способ решения данной системы с использованием функции lsolve(A,B) приведен на рисунке 4.2.
Рис. 4.2. Решение системы линейных уравнений с использованием функции lsolve
Решение системы линейных уравнений с помощью функции Find
При данном методе уравнения вводятся без использования матриц, т.е. в «натуральном виде». Предварительно необходимо указать начальные приближения неизвестных переменных. Это могут быть любые числа, входящие в область определения. Часто за них принимают столбец свободных членов.
Для того чтобы решить систему линейных уравнений с помощью вычислительного блока Given – Find , необходимо:
1) задать начальные приближения для всех переменных;
2) ввести служебное слово Given ;
3) записать систему уравнений, используя знак жирное равно (= );
4) написать функцию Find , перечислив неизвестные переменные в качестве параметров функции.
В результате расчетов выведется вектор решения системы.
Пример. Дана система уравнений:

Решение данной системы с помощью вычислительного блока Given – Find приведено на рисунке 4.3.
Рис. 4.3. Решение системы линейных уравнений с помощью функции Find
Приближенное решение системы линейных уравнений
Решение системы линейных уравнений с помощью функцию Minerr аналогично решению с помощью функции Find (используется тот же алгоритм), только функция Find дает точное решение, а Minerr — приближенное. Если в результате поиска не может быть получено дальнейшее уточнение текущего приближения к решению, Miner r возвращает это приближение. Функция Find в этом случае возвращает сообщение об ошибке.
Общие рекомендации по решению уравнений и систем уравнений
Ниже перечислены некоторые рекомендации, которые следует выполнять, если MathCAD не может самостоятельно найти решение.
· Можно подобрать другое начальное приближение.
· Можно увеличить или уменьшить точность расчетов. Для этого в меню выбрать Math ► Options (Математика – Опции), вкладка Built — In Variables (Встроенные переменные). В открывшейся вкладке необходимо уменьшить допустимую погрешность вычислений (Convergence Tolerance (TOL)). По умолчанию TOL = 0.001.
Внимание. При матричном методе решения необходимо переставить коэффициенты согласно возрастанию неизвестных х 1, х 2, х 3, х 4.
Видео:УРАВНЕНИЕ ОКРУЖНОСТИСкачать

7. 2 Решение систем нелинейных уравнений
Системы нелинейных уравнений в MathCAD решаются с помощью вычислительного блока Given – Find .
Конструкция Given – Find использует расчетную методику, основанную на поиске корня вблизи точки начального приближения, заданной пользователем.
Для решения системы уравнений с помощью блока Given – Find необходимо:
1) задать начальные приближения для всех переменных;
2) ввести служебное слово Given ;
3) записать систему уравнений, используя знак жирное равно (= );
4) написать функцию Find , перечислив неизвестные переменные в качестве параметров функции.
В результате расчетов выведется вектор решения системы.
Если система имеет несколько решений, алгоритм следует повторить с другими начальными приближениями.
Примечание. Если решается система из двух уравнений с двумя неизвестными, перед решением желательно построить графики функций, чтобы проверить, есть ли корни у системы (пересекаются ли графики заданных функций), и если есть, то сколько. Начальное приближение можно выбрать по графику поближе к точке пересечения.
Пример . Дана система уравнений

Перед решением системы построим графики функций: параболы (первое уравнение) и прямой (второе уравнение). Построение графика прямой и параболы в одной системе координат приведено на рисунке 4.5:
Рис. 4.5. Построение графика двух функций в одной системе координат
Прямая и парабола пересекаются в двух точках, значит, система имеет два решения. По графику выбираем начальные приближения неизвестных x и y для каждого решения. Нахождение корней системы уравнений представлено на рисунке 4.6.
Рис. 4.6. Нахождение корней системы нелинейных уравнений
Для того чтобы отметить на графике точки пересечения параболы и прямой, координаты точек, найденные при решении системы, введем по оси Ох (значения х ) и по оси Оу (значения у ) через запятую. В окне форматирования графика во вкладке Traces для trace 3 и trace 4 изменим: тип графика — points, толщина линии — 3, цвет — черный (рис. 4.7).
Рис. 4.7. Графики функций с отмеченными точками пересечения
Видео:10 класс, 11 урок, Числовая окружностьСкачать

8 . Примеры использования основных возможностей MathCAD для решения некоторых математических задач
В данном разделе приведены примеры решения задач, для решения которых необходимо решить уравнение или систему уравнений.
Видео:Геометрия 7 класс (Урок№16 - Окружность. Задачи на построение.)Скачать

8.1 Нахождение локальных экстремумов функций
Необходимое условие экстремума (максимума и/или минимума) непрерывной функции формулируется так: экстремумы могут иметь место только в тех точках, где производная или равна нулю, или не существует (в частности, обращается в бесконечность). Для нахождения экстремумов непрерывной функции сначала находят точки, удовлетворяющие необходимому условию, то есть находят все действительные корни уравнения 
Если построен график функции, то можно сразу увидеть — максимум или минимум достигается в данной точке х . Если графика нет, то каждый из найденных корней исследуют одним из способов.
1-й способ. Сравнение знаков производной  . Определяют знак производной 
2-й способ. Вычисление второй производной  . В этом случае вычисляется вторая производная 
Пример. Нахождение экстремумов (минимумов/максимумов) функции 
Сначала построим график функции (рис. 6.1).
Рис. 6.1. Построение графика функции
Определим по графику начальные приближения значений х , соответствующих локальным экстремумам функции f (x ). Найдем эти экстремумы, решив уравнение 
Рис. 6.2. Нахождение локальных экстремумов
Определим вид экстремумов первым способом , исследуя изменение знака производной в окрестности найденных значений (рис. 6.3).
Рис. 6.3. Определение вида экстремума
Из таблицы значений производной и из графика видно, что знак производной в окрестности точки x 1 меняется с плюса на минус, поэтому в этой точке функция достигает максимума. А в окрестности точки x 2 знак производной поменялся с минуса на плюс, поэтому в этой точке функция достигает минимума.
Определим вид экстремумов вторым способом , вычисляя знак второй производной (рис. 6.4).
Рис. 6.4. Определение вида экстремума с помощью второй производной
Видно, что в точке x 1 вторая производная меньше нуля, значит, точка х 1 соответствует максимуму функции. А в точке x 2 вторая производная больше нуля, значит, точка х 2 соответствует минимуму функции.
Площадь криволинейной трапеции, ограниченной графиком функции f ( x ) , отрезком [a,b] на оси Ox и двумя вертикалями х = а и х = b , a 2 и y = 0.
Рис. 6.5. Нахождение площади фигуры, ограниченной линиями f (x ) = 1 – x 2 и y = 0
Площадь фигуры, заключенной между графиками функций f 1( x ) и f 2( x ) и прямыми х = а и х = b , вычисляется по формуле:
Внимание. Чтобы избежать ошибок при вычислении площади, разность функций надо брать по модулю. Таким образом, площадь будет всегда положительной величиной.
Пример . Нахождение площади фигуры, ограниченной линиями 

1. Строим график функций.
2. Находим точки пересечения функций с помощью функции root. Начальные приближения определим по графику.
3. Найденные значения x  подставляем в формулу 
Видео:Пойми Этот Урок Геометрии и получай 5-ки — Касательная и ОкружностьСкачать

8.3 Построение кривых по заданным точкам
Построение прямой, проходящей через две заданные точки
Для составления уравнения прямой, проходящей через две точки А(x 0,y 0) и B(x 1,y 1), предлагается следующий алгоритм:
1. Прямая задается уравнением y = ax + b ,
где a и b — коэффициенты прямой, которые нам требуется найти.
Подставляем в это уравнение заданные координаты точек и получаем систему:
2. Данная система является линейной. В ней две неизвестные переменные: a и b . Систему можно решить матричным способом.
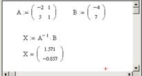
Пример. Построение прямой, проходящей через точки А(–2,–4) и В(5,7).
Подставим в уравнение прямой координаты данных точек и получим систему:
Решение этой системы в MathCAD представлено на рисунке 6.7.
Рис. 6.7.Решение системы
В результате решения системы получаем: а = 1.57, b = –0.857. Значит, уравнение прямой будет иметь вид: y = 1.57x – 0.857. Построим эту прямую (рис. 6.8).
Рис. 6.8. Построение прямой
Построение параболы, проходящей через три заданные точки
Для построения параболы, проходящей через три точки А(x 0,y 0), B(x 1,y 1) и C(x 2,y 2), алгоритм следующий:
1. Парабола задается уравнением
а , b и с — коэффициенты параболы, которые нам требуется найти.
Подставляем в это уравнение заданные координаты точек и получаем систему:

2. Данная система является линейной. В ней три неизвестные переменные: a , b и с . Систему можно решить матричным способом.
3. Полученные коэффициенты подставляем в уравнение и строим параболу.
Пример. Построение параболы, проходящей через точки А(–1,–4), B(1,–2) и C(3,16).
Подставляем в уравнение параболы заданные координаты точек и получаем систему:
Решение этой системы уравнений в MathCAD представлено на рисунке 6.9.
Рис. 6.9. Решение системы уравнений
В результате получены коэффициенты: a = 2, b = 1, c = –5. Получаем уравнение параболы: 2x 2 +x –5 = y . Построим эту параболу (рис. 6.10).
Рис. 6.10. Построение параболы
Построение окружности, проходящей через три заданные точки
Для построения окружности, проходящей через три точки А(x 1,y 1), B(x 2,y 2) и C(x 3,y 3), можно воспользоваться следующим алгоритмом:
1. Окружность задается уравнением

где x0,y0 — координаты центра окружности;
R — радиус окружности.
2. Подставим в уравнение окружности заданные координаты точек и получим систему:

Данная система является нелинейной. В ней три неизвестные переменные: x 0, y 0 и R. Система решается с применением вычислительного блока Given – Find .
Пример . Построение окружности, проходящей через три точки А(–2,0), B(6,0) и C(2,4).
Подставим в уравнение окружности заданные координаты точек и получим систему:
Решение системы в MathCAD представлено на рисунке 6.11.
Рис. 6.11. Решение системы
В результате решения системы получено: x 0 = 2, y 0 = 0, R = 4. Подставим полученные координаты центра окружности и радиус в уравнение окружности. Получим: 
Видео:1 2 4 сопряжение окружностейСкачать

Осваиваем Mathcad (стр. 8 )
|  | Из за большого объема этот материал размещен на нескольких страницах: 1 2 3 4 5 6 7 8 9 10 | 
Пример 2. Нахождение производных высших порядков. Введите шаблон производной порядка выше первого из Меню View – Toolbars – Math-иконка «интеграл» или (лучше и быстрее) используйте клавиши + + . В слоты шаблона введите выражение, подлежащее дифференцированию. Получится:
Охватите всё выражение вместе с обозначением производной синим контуром, затем введите символьный знак равенства ( + + ) и щелкните левой кнопкой мыши где-нибудь вне формулы. Получится «живой» ответ, автоматически реагирующий на вносимые изменения:
14.4.3. Опция Symbolics – Variable – Integrate служит для интегрирования в символьной форме. Как и в описанных выше позициях, возможно однократное («мертвое») интегрирование путем выделения переменной, по которой ищется интеграл, и использование позиций меню, а также возможен режим live symbolic. Рассмотрим 2 примера – один в режиме «мертвого» результата, другой – в режиме live symbolic.
Пример 1. Нахождение неопределенного интеграла. Введите выражение:

щелчком левой кнопки мыши выделите переменную интегрирования x, таким образом,
а затем используйте позиции Меню Symbolics –Variable – Integrate.
Охватите полученное выражение синим контуром и упростите (Меню Symbolics – Simplify), получится компактная красивая формула:
Пример 2. Нахождение определенного интеграла в режиме live symbolic. Образуйте шаблон интеграла из Меню View – Toolbars – Math – иконка «интеграл» или (лучше и быстрее) используйте клавиши + (значок конкатенации, над цифрой 7 в верхней части клавиатуры). В слоты шаблона введите выражение, подлежащее интегрированию:

Напоминание: знак «бесконечность» – на вкладке Calculus из Меню View –Toolbars – Math – иконка «интеграл».
Охватите всё выражение вместе с обозначением интеграла синим контуром, затем введите символьный знак равенства ( + + ) и щелкните левой кнопкой мыши где-нибудь вне формулы. Получится «живой» ответ:

Возможности символьных вычислений не исчерпываются описанными. Вы можете просмотреть и другие позиции меню Symbolics.
Mathcad, в отличие от текстового редактора Word или графического редактора Paint, требует не только (и не столько!) умения находить нужные опции и нажимать нужные клавиши. Необходимо наличие алгоритмического мышления, позволяющего составить и реализовать схему решения.
Чтобы проиллюстрировать это, решим довольно сложную задачу. Не поленитесь проделать весь путь от постановки задачи до полного ее решения. Это будет маленькой иллюстрацией к объему и сложности исследований, которые Вам придется часто делать при изучении естественнонаучных и профессиональных дисциплин.
ДАНО: радиус окружности r, координаты ее центра c1 (абсцисса) и c2 (ордината), параметры a и b уравнения прямой линии.
ПОЛУЧИТЬ: координаты пересечения окружности с прямой в функции от параметров задачи (a, b, r, c1, c2) и указать, при каких соотношениях этих параметров задача имеет решение.
15.2. Этапы решения (не только этой задачи, но и любой другой):
1. Обдумывание задачи.
2. Составление словесного описания алгоритма.
3. Формализация задачи.
5. Графическое построение и проверка.
15.3. Выполнение этапа 1 «Обдумывание задачи» (без компьютера)
Работа над задачей начинается с ее обдумывания. По шутливому закону «[Время на обдумывание задачи до выхода на компьютер] + [Время работы за компьютером] = const» затраты времени на обдумывание всегда рентабельны. Мы понимаем, что задача не всегда имеет решение: может оказаться, что окружность и прямая вовсе не пересекаются. На рис. 4.1 показаны два случая: а) – решение существует, б) – решение не существует.
Рис. 4.1. Графическая иллюстрация к постановке задачи:
(а) решение задачи существует; (б) решения отсутствуют.
Кроме того, ясно, что если решение существует, то могут быть либо 2 точки пересечения, либо одна (если прямая касается окружности).
Выполнение этапа 1 завершено.
15.4. Выполнение этапа 2 «Составление словесного описания
алгоритма» (без компьютера).
Словесное описание алгоритма:
1. Составить уравнение окружности с параметрами (радиус окружности r, координаты ее центра c1 (абсцисса) и c2 (ордината)).
2. Составить уравнение прямой линии с параметрами a и b.
3. Составить систему уравнений для точек пересечения (эти точки должны удовлетворять как уравнению окружности, так и уравнению прямой, см. рис. 4.1-а).
4. Решить эту систему уравнений в символьной форме, получить ответ в виде координат двух точек пересечения.
5. Проанализировать решение. По смыслу задачи (рис. 4.1-б) в решение должны войти элементы, показывающие, что решение может не существовать. Зная уравнение окружности, догадываемся, что эти элементы будут входить в формулу под корнем, извлечение которого возможно только в том случае, если подкоренное выражение неотрицательно.
6. Находим соотношение между параметрами задачи (a, b, r, c1, c2), при которых подкоренное выражение будет положительным. При выполнении этого соотношения задача будет иметь 2 различных решения (прямая линия пересечет окружность в двух точках).
7. Находим соотношение между параметрами задачи (a, b, r, c1, c2), при которых подкоренное выражение будет равно 0. При выполнении этого соотношения задача будет иметь одно решение (прямая линия коснется окружности в одной точке).
8. Находим соотношение между параметрами задачи (a, b, r, c1, c2), при которых подкоренное выражение будет отрицательным. При выполнении этого соотношения задача не будет иметь решений (прямая линия не пересекает окружность).
Выполнение этапа 2 завершено.
15.5. Выполнение этапа 3 «Формализация задачи» (на компьютере)
Порядок действий следует пунктам 1, 2, 3 алгоритма, разработанного на этапе 2.
15.5.1. Выполнение пунктов 1, 2 алгоритма: составление уравнений окружности и прямой линии. Из курса математики известно уравнение прямой Y = a×X + b (параметр a характеризует наклон прямой по отношению к абсциссе X, а параметр b показывает, на какой отметке прямая линия пересекает ординату Y при X = 0). Также из курса математики известно уравнение окружности (X–c1)2 + (Y–c2)2 = r2 (параметры c1 и c2 – координаты центра окружности, параметр r – ее радиус).
15.5.2. Выполнение пункта 3 алгоритма: составление системы уравнений для точек пересечения (эти точки должны удовлетворять как уравнению окружности, так и уравнению прямой, см. рис. 4.1-а).
Составляем вектор, компонентами которого будут эти выражения (аналогично примеру 2 п. 14.4.1). Помним, что уравнения нужно записать с использованием жирного знака равенства + .
Образуйте «заготовку» для ввода вектора уравнений (можно через Меню Insert – Matrix, лучше (быстрее) с помощью клавиш + ), укажите число строк (rows) 2, число столбцов (columns) 1. В появившуюся «заготовку» для вектора введите строки системы уравнений, используя жирный знак равенства ( + ). Должно получиться:
 
Набор c1 и c2 – через так называемую КОСМЕТИЧЕСКУЮ точку. Здесь цифры 1 и 2 – не индексы, а просто запись идентификатора в форме, принятой в научной литературе: вместо c1 записываем c1 для красоты. Набираем так: с (точка) 1, при этом каретка смещается на 0.5 межстрочного интервала. НЕ НУЖНО ПУТАТЬ с индексом, который набирается с помощью квадратной скобки [.
Напоминание: для набора показателя степени используйте клавиши + (клавиша 6 – в верхнем ряду, где ^).
Выполнение этапа 3 завершено.
15.6. Выполнение этапа 4 «Решение» (на компьютере)
15.6.1. Выполнение пункта 4 алгоритма: решение системы уравнений, определяющих координаты точек пересечения, получение ответа в символьном виде (в виде формул для расчета координат двух точек пересечения по заданным параметрам прямой (a, b) и окружности (c1, c2, r)).
После этого делайте так, как в примере 2 п. 14.4.1 описания символьных вычислений. Кратко:
§ Охватите синим контуром ф-лу (4.1);
§ Введите символьный знак равенства клавишами + + ;
§ В слот введите через запятые запрос на решение и перечень искомых переменных solve,X,Y и щелкните левой кнопкой мыши где-нибудь вне формулы.
Ответ, который Вы увидите, будет огромным. Мы видим, что он представлен в форме матрицы размера 2´2.
Первый столбец ответа выглядит так:
 
второй столбец ответа выглядит так:
«Расшифруем» ответ Mathcad. Верхняя строка даст абсциссу (элемент матрицы с индексами 0,0) и ординату (элемент матрицы с индексами 0,1) первой точки пересечения, а вторая  – то же для второй точки (элементы матрицы с индексами 1,0 и 1,1):

Нужно привыкнуть, что нумерация элементов массива в Mathcad следует американскому стилю (не с 1, а с нуля!).
Просмотрите полученный ответ. А теперь представьте, сколько ошибок в выкладках Вы сделали бы, если бы выводили такое выражение вручную!
15.6.2. Выполнение пункта 5 алгоритма: анализ решения.
1) Подготовительные операции. Скопируйте ответ (только ответ!) целиком: охватите его синим контуром, затем используйте иконку «копия» или лучше (быстрее) нажмите + . Копия будет передана в буфер для хранения и для последующего использования.
Присвойте скопированной матрице какой-либо идентификатор (например, Z – прописная литера), нажмите и в появившийся слот введите копию из буфера (либо иконкой «извлечь из буфера», либо нажмите + ). Получится (формула приведена не полностью, из-за своего большого размера):
 
Итак, мы заготовили матрицу, в которой записан ответ задачи: координаты точек пересечения окружности и прямой линии.
2) Нахождение фрагментов формул, по которым можно установить, имеется ли решение. Как указывалось в описании алгоритма, по смыслу задачи (рис. 4.1-б) в решение должны войти элементы, показывающие, что решение может не существовать. Мы видим, что в каждом из элементов матрицы Z имеется одинаковое выражение в форме квадратного корня:
 
Из курса элементарной математики Вы знаете, что извлечение корня возможно только в том случае, когда подкоренное выражение неотрицательно. Следовательно, для того чтобы гарантировать наличие решения, нужно, чтобы соотношение параметров задачи (a, b, c1, c2, r) было таким, чтобы подкоренное выражение было неотрицательным.
§ Положительным. При выполнении этого соотношения задача будет иметь 2 различных решения (прямая линия пересечет окружность в двух точках).
§ Нулевым. При выполнении этого соотношения задача будет иметь 2 различных решения (будут получены 2 варианта прямых линий, каждая из которых будет касаться окружности в одной точке на противоположных концах диаметра окружности).
§ Отрицательным. При выполнении этого соотношения задача не будет иметь решения (прямая линия не пересечет окружность).
1) Предварительные замечания. Мы видим, что граница между областью параметров, в которой отсутствует решение, и областью, в которой прямая линия пересекает окружность в двух точках, проходит через соотношение, в котором подкоренное выражение равно 0.

Таким образом, решение вопроса о существовании точек пересечения прямой линии и окружности свелось к простой задаче: выразить один из параметров (любой) через все другие так, чтобы подкоренное выражение получилось равным нулю.
2) Формула, связывающая один из параметров (a, b, r, c1, c2) задачи через остальные параметры, при которых подкоренное выражение равно 0. Выберем один из параметров (например, b) и выразим его через остальные (a, r, c1, c2), с использованием символьного решения уравнения подкоренное выражение = 0.
Действуем так, как в примере 1 п. 14.4.1 описания символьных вычислений. Кратко:
§ Наберите формулу (4.5) ОБЯЗАТЕЛЬНО через жирный знак равенства ( + ).
§ Введите символьный знак равенства клавишами + + ;
§ В слот введите через запятые запрос на решение и перечень искомых переменных solve,b и щелкните левой кнопкой мыши где-нибудь вне формулы).
Должно получиться так:
 
а) Условия, при которых прямая линия касается окружности. Из геометрических соображений ясно, что таких прямых линий будет две: одна коснется окружности «сверху», а другая – «снизу», на противоположном конце диаметра, проходящего через первую точку касания.
Введите идентификатор функции b1(a, c1, c2, r) для обозначения функциональной зависимости параметра b от других параметров (a, c1, c2, r), нажмите двоеточие и в появившийся слот введите копию первого элемента вектора-решения (это будет условием касания прямой линии окружности «сверху»). Копию делайте так: охватите нужную часть формулы синим контуром, нажмите + (т. е. скопируйте ее в буфер), затем установите курсор в слот и извлеките копию из буфера (лучше всего – клавишами + ).
 
Затем введите другой идентификатор функции b2(a, c1, c2, r) , нажмите и двоеточие и в появившийся слот введите копию второго элемента вектора-решения (это будет условием касания прямой линии окружности «снизу»).
 
Таким образом, ответом на вопрос о касании окружности прямой линией будет:
ЕСЛИ [b = b1(a, c1, c2, r)] ИЛИ [b = b2(a, c1, c2, r)] ТО прямая касается окружности. (4.9)
Таким образом, ответом на вопрос об отсутствии пересечения окружности и прямой будет:
ЕСЛИ [b > b1(a, c1, c2, r)] ИЛИ [b b2(a, c1,c 2, r)] ТО пересечение в двух точках. (4.11)
Выполнение этапа 4 завершено.
15.7. Выполнение этапа 5 «Графическое построение и проверка» (на компьютере)
1) Сначала проверим, правильно ли мы определили координаты точек касания. Мы уже выполнили необходимые расчеты: координаты находятся в массиве Z (формула (4.3)), осталось только обозначить ответ как функцию переменной b. Для этого просто подправьте (не набирайте снова!) формулу (4.3): запишите слева Z(b) вместо Z.
Получится (формула приведена не полностью, из-за своего большого размера):

Мы выводили ф-лу (4.3) для определения координат двух точек пересечения окружности прямой линией. Пока прямая проходит через точки внутри окружности, таких точек действительно будет две, и они должны иметь различные координаты. Если прямую смещать так, как показано стрелкой на рис. 4.2, то точки пересечения будут сближаться, а затем сольются в одну (это и будет точкой касания), и их координаты будут одинаковыми.

 

Если окажется, что первая и вторая строки у каждой матрицы одинаковые, то это убедит Вас в правильности нахождения точек касания.
2) Реализация проверки с помощью графика.
Построим график и укажем на нем не только окружность 
Фаза 1 построения графика. Для построения графика нужно научиться строить окружность. Это можно сделать разными способами, самый простой из которых – использовать параметрическое представление окружности:
Задаться значениями угла поворота радиуса окружности вокруг центра в пределах от 0 до 2×p:
(это и будет один из наших параметров; второй параметр – радиус окружности).
Абсцисса с учетом того, что координаты центра окружности равны (с1, с2), вычисляется так:
(эту формулу не набирайте, покажем ее прямо на графике).
Ордината с учетом того, что координаты центра окружности равны (с1, с2), вычисляется так:
(эту формулу тоже не набирайте, покажем ее прямо на графике).
Теперь образуйте шаблон графика (можно из меню Insert – Graph – XY plot; лучше (быстрее) клавишами + ) и в слоты абсциссы и ординаты впишите формулы, как показано на рис. 4.3-а.
 
Рис. 4.3. Начальный этап построения графика для проверки правильности расчетов:
а) график окружности, б) отметка центра окружности.
Приведите график к надлежащему виду, введя нужные опции щелчком мыши по полю графика: нанесите сетку (опция XY—axes, включите Grid lines, отключите AutoGrid и введите число градаций сетки – например, 4 на каждой из осей); перейдите к «русской» форме указания координат (опция XY—axes, кнопка Crossed). Добейтесь, чтобы график выглядел так, как на рис. 4.3.
Укажите (точкой) центр графика. Для этого введите дополнительные координаты (как на рис. 4.3-б). Способ ввода: охватите уже имеющуюся подпись оси синим контуром и нажмите запятую. Появится новый слот, в который можно ввести новые координаты. Укажите, что вывод нужно сделать точкой. Для этого щелчком мыши вызовите опции графика, выберите вкладку Traces (линии графика), перейдите ко второй строке (trace 2), откройте список типов Types (типы линий) и выберите points (точки). В списке Width (ширина) выберите 3, в списке Color выберите цвет, какой хотите. Нажмите OK. Должно получиться как на рис. 4.3-б.
Фаза 1 построения графика завершена.
Фаза 2 построения графика. Представим графически прямые, которые (как мы предполагаем) должны касаться окружности в двух точках по разные стороны диаметра. Для этого введем диапазон и шаг изменения аргумента x:
 
Напоминание: многоточие наберите с помощью клавиши .
Обратите внимание на то, что при определении диапазона возможных изменений аргумента нужно учитывать координаты центра окружности!
Затем образуем два дополнительных слота по осям абсцисс и ординат (охватите синим контуром «старый» аргумент, затем нажмите клавишу ). В эти слоты введем уравнения касательных, приведенных в п. 15.7.1. Должно получиться так, как показано на рис. 4.4.
Рис. 4.4. Проверка правильности нахождения уравнений касательных к окружности.
Замечание: график имеет функцию автоматического масштабирования, в результате окружность может принять форму эллипса. Растяните график так, чтобы устранить искажение.
Фаза 2 построения графика завершена.
Образуйте еще два слота на осях графика и впишите в них координаты точек касания. Опции для этих координат: тип (Types) – точки (points), толщина (Weight) – не менее 3. Должно получиться так, как показано на рис. 4.5. Номера элементов набирайте так: после набора идентификатора матрицы, например, Z(b1(a, c1, c2, r)) охватите его синим контуром, нажмите клавишу и в появившийся слот впишите номер элемента матрицы – как на рис. 4.5.
Фаза 3 построения графика завершена.
Построенный график показывает, что в вычислениях нет грубых ошибок, график соответствует нашим интуитивным представлениям о результате: прямые линии действительно касаются окружности, координаты точек касания находятся по разные стороны диаметра. Но проверка по графику, хотя и очень полезная, не обладает достаточной точностью и, главное, общностью (не защищена от случайных совпадений). Для чистоты ответа сделаем еще одну, более точную проверку.
Рис. 4.5. Проверка правильности нахождения координат точек касания.
3) Проверка правильности расчета вычислениями. Идея проверки состоит в ответах на два вопроса:
1. Действительно ли обе точки касания лежат на одной прямой?
2. Действительно ли эта прямая проходит через центр окружности?
Важное замечание: непосредственно для решения задачи ответ на эти вопросы не нужен. Такие (казалось бы) лишние вычисления служат ловушкой для логических ошибок. Ловушки в форме проверки выполнения некоторых тождеств, равенств и т. п. полезно вставлять в программы. Академик , много сделавший для развития науки программирования, назвал такие ловушки УТВЕРЖДЕНИЯМИ и настаивал на их огромном значении для обнаружения и исправления логических ошибок – наиболее трудно обнаруживаемых ошибок в алгоритмах, не проявляющих себя в переполнениях, делении на нуль и прочих действиях, обнаруживаемых компьютером без участия программиста. К сожалению, иногда при наличии логической ошибки результат расчета получается внешне правдоподобным, и программист может посчитать свою задачу выполненной. Но при использовании других исходных данных ответ будет абсолютно неверным! Если программа используется для принятия решения или для управления производством, результат логической ошибки может оказаться катастрофическим (ошибка такого рода привела к гибели космического корабля и к Чернобыльской трагедии).
Перейдем к реализации идеи проверки-ловушки по следующей схеме:
1. Составим уравнение прямой линии, проходящей через две точки: через центр окружности и через одну из точек касания.
2. Подставим в это уравнение координаты второй точки касания.
3. Если окажется, что координаты второй точки удовлетворяют уравнению – расчеты выполнены правильно, логическая ошибка, скорее всего, отсутствует.
 
Ели логической ошибки в наших расчетах нет, то после подстановки разность между правой и левой частями (4.14) будет равна нулю.
Проверяем. После набора разности наберите знак равенства (обычный) и посмотрите, действительно ли в ответе получился нуль. Желаю удачи!











 Панель калькулятора
Панель калькулятора Панель исчислений
Панель исчислений Панель графики
Панель графики Булевая панель
Булевая панель Панель векторов и матриц
Панель векторов и матриц Панель греческих символов
Панель греческих символов Панель оценки
Панель оценки Панель программирования
Панель программирования
 — знак присвоения (вводится нажатием клавиши : на клавиатуре (двоеточие в английской раскладке клавиатуры) или нажатием соответствующей кнопки на панели Калькулятор  );
— знак присвоения (вводится нажатием клавиши : на клавиатуре (двоеточие в английской раскладке клавиатуры) или нажатием соответствующей кнопки на панели Калькулятор  ); — глобальный оператор присвоения. Это присвоение может производиться в любом месте документа. К примеру, если переменной присвоено таким образом значение в самом конце документа, то она будет иметь это же значение и в начале документа.
— глобальный оператор присвоения. Это присвоение может производиться в любом месте документа. К примеру, если переменной присвоено таким образом значение в самом конце документа, то она будет иметь это же значение и в начале документа. — оператор приближенного равенства (x1). Используется при решении систем уравнений. Вводится нажатием клавиши; на клавиатуре (точка с запятой в английской раскладке клавиатуры) или нажатием соответствующей кнопки на Булевой панели.
— оператор приближенного равенства (x1). Используется при решении систем уравнений. Вводится нажатием клавиши; на клавиатуре (точка с запятой в английской раскладке клавиатуры) или нажатием соответствующей кнопки на Булевой панели.  Панели Калькулятора,
Панели Калькулятора,  Панели Исчислений и
Панели Исчислений и  Панели Оценки.
Панели Оценки. — ввод числовых значений в таблицу производится через запятую;
— ввод числовых значений в таблицу производится через запятую; — вывод значения первого элемента вектора S;
— вывод значения первого элемента вектора S; — вывод значения нулевого элемента вектора S.
— вывод значения нулевого элемента вектора S. на Панели векторов и матриц.
на Панели векторов и матриц. 



 Например :
Например :


 Щелкнуть по кнопке на панели инструментов.
Щелкнуть по кнопке на панели инструментов.























































